海星高等学校の入試過去問題[問題編]、資料(パンフレット)請求、入試(受験)、説明会などを掲載

日本一の学校情報JS日本の学校

家族に教えたい、教育情報がここにあります。

最近チェックした学校

日本の学校 > 高校を探す > 三重県の高校から探す > 海星高等学校 

この高校を詳しく知ろう

高校のパンフレット紹介

海星高等学校パンフレット
資料・送料とも無料

海星高等学校

(高等学校/私立/共学/三重)
資料請求
過去問題
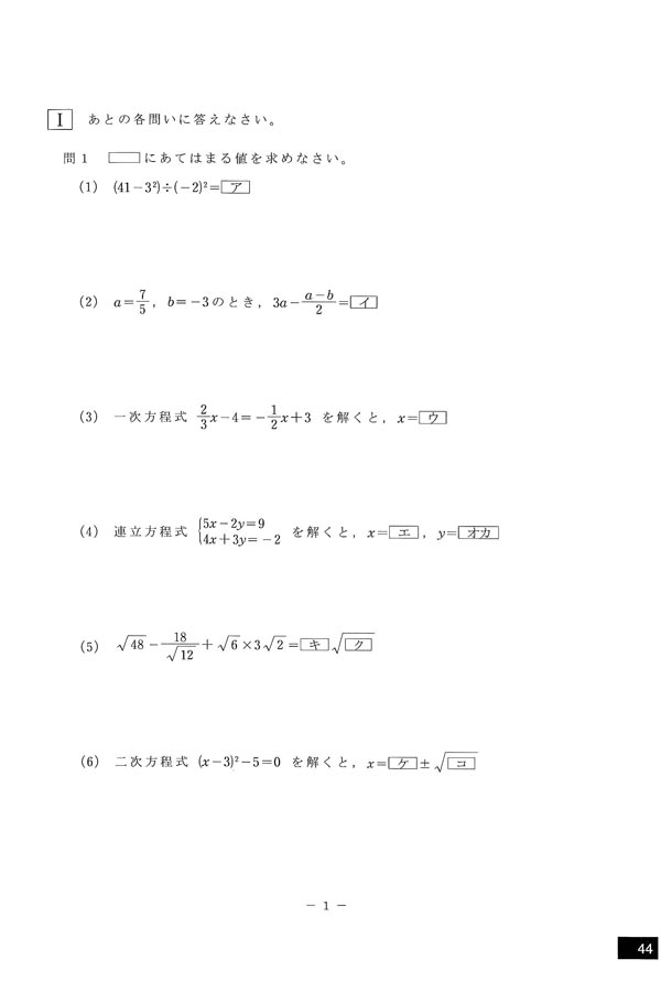
令和7年度入試過去問題(一般): 数学(問題) 英語(問題) 理科(問題)
■令和7年度入試過去問題(一般)(数学 問題)
   
   
※掲載している入試過去問題の画像は全て、各学校の了承を得て掲載しております。
  掲載されている全ての画像の無断複製、利用を禁じます。
ページの先頭へ

海星高等学校の資料をもらおう!

資料請求

資料・送料とも無料