大成高等学校の入試過去問題[解答編]、資料(パンフレット)請求、入試(受験)、説明会などを掲載
会員登録(無料)
日本の学校
>
高校を探す
>
愛知県の高校から探す
>
大成高等学校
この高校を詳しく知ろう
高校基本情報/教育目標
学費
学ぶこと/学校生活
クラブ活動
卒業生の進路
入試情報・入試過去問題
大成高等学校
(高等学校/私立/共学/愛知)
この高校をマイページに保存
一覧へ
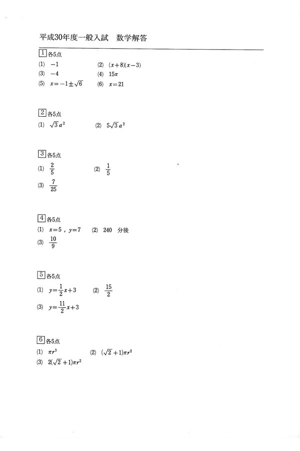
■平成30年度入試過去問題(数学 解答)
※掲載している入試過去問題の画像は全て、各学校の了承を得て掲載しております。
掲載されている全ての画像の無断複製、利用を禁じます。
■高校情報を確認しよう
高校基本情報/教育目標
学費
学ぶこと/学校生活
クラブ活動
卒業生の進路
入試情報・入試過去問題
対象別コンテンツ
幼児向け
小学生向け
中学生向け
高1生向け
高2生向け
高3生向け
(小・中・高)教職員の皆様へ
大学生向け
社会人向け
日本の学校;進学情報の決定版 高校進学、中学校進学の情報満載
高校を探そう
■都道府県から高校を探す
北海道
関東
東海
近畿
九州・沖縄
東北
甲信越
北陸
中国・四国
■高校の情報をチェック!
私立高校を探す
高校のパンフレットをまとめて請求
高校の学校説明会情報
私立高校「入試過去問」
公立高校の学区を調べる
中学校を探そう
■都道府県から私立中学校を探す
北海道
関東
東海
近畿
九州・沖縄
東北
甲信越
北陸
中国・四国
■中学校の情報をチェック!
私立中学校を探す
中学校のパンフレットをまとめて請求
中学校の説明会情報
私立中学校「入試過去問」
公立中学校の学区を調べる
日本の学校;進学情報の決定版 高校進学、中学校進学の情報満載
このサイトについて
ご利用ガイド
よくある質問
サイトマップ
運営会社について
会社情報
採用情報
お問い合わせ
広告掲載について
個人情報保護方針
関連サイトのご案内
携帯版 日本の学校
プロフェシオン
JS日本の塾
JS日本の企業
JS大学生の塾アルバイト
JS塾講師・教職員募集
JS英語の学校ナビ
株式会社JSコーポレーションは
「プライバシーマーク」使用の
許諾事業者として認定されています。