東京文華高等学校の入試過去問題[問題編]、資料(パンフレット)請求、入試(受験)、説明会などを掲載

日本一の学校情報JS日本の学校

家族に教えたい、教育情報がここにあります。

最近チェックした学校

日本の学校 > 高校を探す > 東京都の高校から探す > 東京文華高等学校 

東京文華高等学校

(高等学校/私立/女子校/東京)
2026年4月校名変更予定/現校名:文華女子高等学校(校名変更申請中)
資料請求
過去問題
2025年度入試過去問題: 数学(問題) 英語(問題)
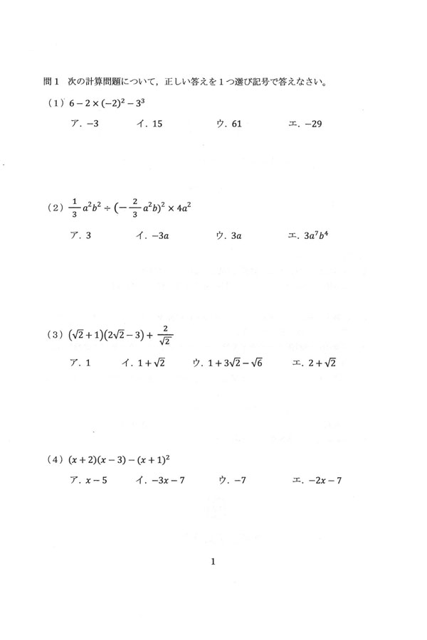
■2025年度入試過去問題(数学 問題)
   
   
※掲載している入試過去問題の画像は全て、各学校の了承を得て掲載しております。
  掲載されている全ての画像の無断複製、利用を禁じます。
ページの先頭へ

東京文華高等学校の資料をもらおう!

資料請求

資料・送料とも無料